不能。无论通过人类目前在用的哪款天文望远镜,都不可能看到月球表面上站着一个人。
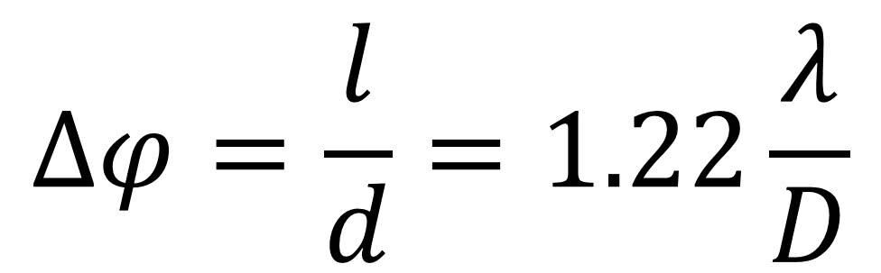
天文望远镜的分辨能力由口径决定,口径越大,分辨能力越强,能够看到的物体也就越小。具体来看下如下的公式:
其中Δφ为分辨角、l为观测目标的长度,d为目标的距离,λ为入射光的波长,D为天文望远镜的直径。
为了计算出天文望远镜看到月球上的人至少需要达到多大的口径,这里假设距离d为月球近地点时的距离,大小为36.26万公里。再假设观测角度是从侧面看过去,而不是从头顶看过去,并假设站在月球上的人的身高为1.75米。λ取值为550纳米,这是人眼最为敏感的可见光波段。
通过计算可知,对应的天文望远镜直径约为139米。即便用波长更短的近紫外波段,所需的口径仍然超过90米。目前地球上单口径最大的光学望远镜是加那利大型望远镜,其直径为10.4米(哈勃主镜只有2.4米),远低于上述的计算结果。
就算人类拥有直径高达100米的光学望远镜,也只能把站在月球上的人看成像素点,无法分辨出这个人的具体细节。如果想要看出是个人影,口径还要再大数倍。在可见的未来,人类很难造出如此巨大的光学望远镜。
正因为如此,人类才需要月球探测器飞到距离月表几十公里的地方进行观测。但探测器的载荷有限,它们的相机成像能力也是有限的。下图是月球勘测轨道飞行器在绕月过程中拍摄到的阿波罗16号登陆点遗迹:
虽然探测器距离月表很近,但仍然很难看清楚位于月表上的登月舱,尽管登月舱的体型比人类大得多。










